要學習電腦圖學,除了對各種座標系統的掌握之外,不可或缺的就是向量的應用,這邊介紹一些基本的向量觀念與其應用。
假設三維空間中有一點(a, b, c),則我們定義向量如下:

A向量為由原點出發、具有大小與方向性的向量,大小即為原點至該點的長度,而方向即為圖中箭頭所表示的;當向量長度為1時,我們稱為「單位向量」,通常使用i, j, k來表示X軸、Y軸與Z軸的單位向量,而向量的表示法,可以使用上圖右式所示。
向量表示法的好處是可以同時指明某變量的大小與方向,例如在模擬物理運動或力的作用時,向量表示法就相當的有用,例如若某物體的前進方向與速度,可以用向 量來同時表示其X分量與Y分量的速度,如(a, b)就表示其在X方向的速度為a,Y方向速度為b,如果物體彈性碰撞右牆,則只要改變X分量為負方向,也就是(-a, b)即可。

定義兩個向量A(x1, y1, z1)與B(x2, y2, z2)的內積運算為:
A . B = (x1, y1, z1) . (x2, y2, z2) = x1*x2 + y1*y2 + z1*z2
如上式所示,向量內積運算後是個純量,不帶有方向性,經過導證,向量內積運算也等同於下面這個式子:
A * B = | A | * | B | * cosθ
其中θ與向量內積在圖形上的意義如下所示:

也就是說,可以利用向量內積求得A向量在B向量上的投影(或反過來求B向量在A向量上的投影)。
向量內積在圖學上的應用之一,就是求得光線的照射量,我們必須先知道,與平面垂直的向量為平面的法向量,如果有一平行光源照射至某平面,則我們可以藉由平 面法向量與光源的向量求內積,如果內積為零,則表示光源與平面平行,則平面受光量為0,內積求得值的絕對值越大,則平面受光量越大。

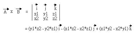
定義A(x1, y1, z1)與B(x2, y2, z2)兩向量的外積為

由上式可以得知,向量外積運算後會得到另一個向量,其關係如下:

向量外積運算後的方向判斷若使用右手來判斷,則右手食指為A向量,中指為B向量,姆指就為AXB,或單純右手四指由A繞至B,姆指即為AXB的方向,而 AXB的大小為:
| A X B | = | A | * | B | * sinθ
向量外積的使用在圖學中也是相當廣泛,例如凸面體的隱藏面判斷,可以利用向量外積求得一平面的法向量,假設位於Z軸的正方向往負方向看過去,則若平面法向量的Z分量為正,表示平面朝向您,為可視平面,若Z分量為負,表示平面朝另一面,您看不到這個平面。

關於向量、內積與外積的應用還有得多,總之將線代好好研讀一遍,瞭解向量並應用於圖學上是一個重要的課題。
向量外積與四元數 有一些外積的基本介紹。

